CAGR (Compound Annual Growth Rate)

Skumulowany roczny wskaźnik wzrostu (CAGR) jest wykorzystywany w finansach do analizowania i porównywania danych dotyczących inwestycji. Pozwoli Ci m.in. trafnie ocenić opłacalność lokowania kapitału czy rentowność prowadzenia działalności gospodarczej. Aby go wyliczyć, musisz skorzystać ze wzoru lub formuły w Excelu. Następnie pozostaje Ci jeszcze prawidłowa interpretacja wyników z uwzględnieniem czynników ryzyka.

Czym jest wskaźnik CAGR?

CAGR (Compound Annual Growth Rate) to uśredniony wskaźnik rocznego wzrostu, który wskazuje stopę wzrostu z inwestycji w analizowanym okresie – przy założeniu, że roczne wzrosty dodaje się do wartości bazy następnego okresu. Dlaczego jest przydatny? Bo uwzględnia czas trwania inwestycji (np. 5, 10 czy 15 lat) i dostarcza informacji niezbędnych m.in. do oceny możliwości inwestycyjnych danego podmiotu. Dzięki niemu ocenisz np. stabilność i ryzyko wynikające z angażowania środków pieniężnych.

Skumulowany roczny wskaźnik wzrostu CAGR – gdzie można go wykorzystać?

Jest wiele przypadków, kiedy wyliczenie CAGR okazuje się niezwykle pomocne. Sprawdź, czy i Ty możesz go wykorzystać.

Porównywanie rentowności inwestycji

Za pomocą wskaźnika CAGR przeanalizujesz opłacalność lokowania kapitału w różnych perspektywach czasowych. Dzięki niemu możesz zestawić np. opłacalność inwestycji w nieruchomości w różnych okresach trwania, ocenić związane z tym ryzyko i znaleźć najlepsze rozwiązanie na zaangażowanie pieniędzy.

Szacowanie opłacalności inwestycji długoterminowych

Jeśli jesteś analitykiem finansowym lub inwestorem, możesz wykorzystać wskaźnik CAGR przy określaniu opłacalności angażowania środków w perspektywie długoterminowej. Pozwala dokonać oceny tempa wzrostu takiej inwestycji w danym okresie.

Ocena perspektywy rozwoju biznesu

Jako przedsiębiorca możesz wykorzystać wskaźnik CAGR do określenia poziomu zysków osiągniętych na przestrzeni kilku lat prowadzenia działalności. Na podstawie interpretacji Compound Annual Growth Rate masz szansę ocenić czy uzyskiwane dochody są stabilne oraz czy rozwój Twojej firmy przebiega w odpowiedni sposób.

Skorzystaj ze wzoru, aby obliczyć CAGR

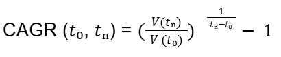
Aby obliczyć skumulowany roczny wskaźnik wzrostu, musisz znać m.in. okres trwania inwestycji wyznaczony przez rok początkowy (t₀) i rok końcowy (tₙ). Niezbędne są też: wartość końcowa [V(tₙ)] i wartość początkowa [V(t₀)] w badanym okresie, które w znacznym stopniu wpływają na CAGR. Powyższe dane wystarczy podstawić do wzoru.

wzór CAGR

Przedstawiony wzór może przyjmować nieco inną postać (w zależności od źródła), jednak sam sposób obliczania formuły nie ulega zmianie.

Średnia roczna stopa wzrostu: co wziąć pod uwagę przy interpretacji CAGR?

Wynik uzyskany po podstawieniu danych do wzoru na CAGR pozwala na określenie tempa wzrostu inwestycji w określonym przedziale czasowym. Jak go interpretować?

  • Gdy CAGR jest wysoki

Im większy wynik średniej rocznej stopy wzrostu, tym prawdopodobnie szybszy wzrost zysków. Przed obliczeniem CAGR warto ocenić stabilność inwestycji i zmienność ceny aktywa. Jest to istotne ze względu na fakt, że wysoki CAGR może mieć związek z dużymi fluktuacjami cen w analizowanym okresie, co z kolei przekłada się na zmniejszenie poziomu przewidywalności inwestycji.

  • Gdy CAGR jest niski

Wskaźnik CAGR na niskim poziomie może świadczyć o powolnym wzroście wartości inwestycji i stosunkowo niskim ryzyku inwestycyjnym.

Pamiętaj! Duże znaczenie dla prawidłowej interpretacji wyników CAGR ma podanie prawidłowych wartości początkowej i końcowej kapitału.

Ponadto przy obliczaniu skumulowanego rocznego wskaźnika wzrostu warto uwzględnić czynniki ryzyka, np. odchylenie standardowe mierzące zmienność zwrotów z inwestycji czy współczynnik determinacji ułatwiający ocenę, na ile skutecznie inwestycja wyjaśnia zmienność jej wartości w stosunku do zainwestowanej kwoty. Przy analizie wyników należy również wziąć pod uwagę fakt, że w środku analizowanego okresu mogą występować zmiany w kapitale, których nie uwzględnia wskaźnik CAGR.

Jakie wady ma wskaźnik CAGR?

Wskaźnik CAGR (skumulowany roczny wskaźnik wzrostu) ma pewne ograniczenia:

  • nie bierze pod uwagę spadku wartości inwestycji na skutek inflacji, przez co w długoterminowej perspektywie może fałszować faktyczny obraz rzeczywistego wzrostu inwestycji;

  • pomija dodatkowe wydatki ponoszone w związku z inwestycją (chodzi tu m.in. o prowizje, opłaty urzędowe czy podatki);

  • nie uwzględnia ryzyka rynkowego.

Są to wystarczające powody, dla których nie możesz traktować wskaźnika CAGR jako jedynego sposobu na określanie rentowności inwestycji. Mimo to stanowi przydatne narzędzie w tworzeniu różnorodnych analiz i strategii finansowych.

Przewijanie do góry